[1]:
# -*- coding: utf-8 -*-
#  Copyright 2023 United Kingdom Research and Innovation
#
#  Licensed under the Apache License, Version 2.0 (the "License");
#  you may not use this file except in compliance with the License.
#  You may obtain a copy of the License at
#
#      http://www.apache.org/licenses/LICENSE-2.0
#
#  Unless required by applicable law or agreed to in writing, software
#  distributed under the License is distributed on an "AS IS" BASIS,
#  WITHOUT WARRANTIES OR CONDITIONS OF ANY KIND, either express or implied.
#  See the License for the specific language governing permissions and
#  limitations under the License.
#
#   Authored by:  Francesca Bevilacqua (University of Bologna)
#   Reviewed by:  Margaret Duff (STFC - UKRI )

Comparison between the Least Square and the Weighted Least Square and the Kullback Leibler Divergence#

As we know, the data in computed tomography is affected by Poisson Noise due to the electromagnetic nature of X-rays. The Poisson distribution can be easily approximated by a Gaussian when the mean is high, but it differs from it when the mean is lower. This is the case of Low Dose CT, where the number of photon that reach the detector pixels are less than standard CT.

Here we briefly summarize the acquisition model:

\[I = I_{0} e^{-Ax}\]

where \(I\) is the intensity data collected by the detector, \(I_{0}\) is the incoming souce intensity, \(A\) is the projection operator of Computed Tomography and \(x\) is the object (attenuation coefficients) that we want to reconstruct. When adding the Poisson Noise we have:

\[B \sim \mathrm{Poisson}(I).\]

Most of the standard CT reconstruction strategies assume that the mean is high and therefore the Poisson distribution can be approximated by a Gaussian distribution and so

\[Y \sim \mathrm{Normal}( Ax,\delta I)\]

where \(Y = -\log (\frac{B}{I_{0}})\) is the sinogram data (obtained after taking the negative logarithm of \(\frac{B}{I_{0}}\)) and \(\delta\) is the noise level. This leads to a least square problem for finding \(x\) by solving the following minimisation problem:

\[\min_{x} \mathcal{F}_{G}(x) := \frac{1}{2} || Y - Ax||_{2}^{2}.\]

Clearly, using this formulation, we are supposing that the distribution of the noise inside \(Y\) is a white Gaussian. We know instead that there is instead a Poisson distribution on the measurements, so \(B \sim \mathrm{Poisson}( I_{0} e^{-Ax})\). Taking the negative logorithm of the probability density function of the Poisson noise, we get a Kullback Leibler Divergence loss i.e. if we observe \(u \sim\mathrm{Poisson}(v)\) to find \(v\) we minimise with respect to \(v\) the objective $ KL(u,v) = u \log`(:nbsphinx-math:frac{u}{v}`)-u+v$. Hence, write

\[\min_{x} \mathcal{F}_{P}(x) := KL(B, I_{0} e^{-Ax}).\]

Between the two approaches, we can consider a quadratic approximation of function \(\mathcal{F}_{P}\) and the problem takes the following form:

\[\min_{x} \mathcal{F_{W}} : = \frac{1}{2} || Y - Ax ||_{W}^{2} \ = \min_{x} \frac{1}{2} \sum_{i} w_{i} (Y-Ax)^2_{i}\]

where \(w_{i} = e^{-Y_{i}} = \frac{B}{I_{0}}\). The main difference between \(\mathcal{F}_{G}\) and \(\mathcal{F}_{W}\) is the weight matrix \(W\). This is the weighted least squares approach.

In this notebook we will see the difference between the solution obtained by minimizing \(\mathcal{F}_{G}\), \(\mathcal{F}_{W}\) and \(\mathcal{F}_{P}\) for the case of low dose CT, i.e. where the distribution of the noise is very different from a white gaussian, and the level of the noise is high. We consider results with and without Total Variation and demonstrate a parameter search for an optimum regularisation parameter.

[2]:
# cil imports
from cil.framework import ImageGeometry, DataContainer
from cil.framework import AcquisitionGeometry
from cil.optimisation.functions import Function


from cil.optimisation.functions import LeastSquares, KullbackLeibler, OperatorCompositionFunction, ZeroFunction, IndicatorBox
from cil.optimisation.functions import TotalVariation
from cil.optimisation.algorithms import GD, PDHG, FISTA

from cil.plugins.astra.operators import ProjectionOperator
from cil.plugins.astra.processors import FBP


from cil.plugins import TomoPhantom
from cil.utilities.quality_measures import psnr
from cil.utilities.display import show_geometry
from cil.utilities.display import show2D


import numpy as np
import matplotlib.pyplot as plt


# set up default colour map for visualisation
cmap = "gray"

# set the backend for FBP and the ProjectionOperator
device = 'gpu'

CIL version 23.1.0#

[3]:
import cil
print(cil.__version__)
23.1.0

The dataset#

In this notebook we will use a classical Shepp-Logan phantom generated with the TomoPhantom toolbox.

[4]:
# number of pixels
n_pixels = 256

# Angles
angles = np.linspace(0, 360, 500, endpoint=False, dtype=np.float32)

# set-up fan-beam AcquisitionGeometry
# distance from source to center of rotation
dist_source_center = 6#300.0
# distance from center of rotation to detector
dist_center_detector = 6# 200.0
# physical pixel size
pixel_size_h = 2/n_pixels
#magnification
mag = (dist_source_center + dist_center_detector) / dist_source_center

# Setup acquisition geometry
ag = AcquisitionGeometry.create_Cone2D(source_position=[0,-dist_source_center], detector_position=[0, dist_center_detector])
ag.set_angles(angles=angles)
ag.set_panel(num_pixels=n_pixels, pixel_size=(pixel_size_h, pixel_size_h))

# Setup image geometry
ig = ImageGeometry(voxel_num_x=n_pixels,
                   voxel_num_y=n_pixels,
                   voxel_size_x=ag.pixel_size_h / mag,
                   voxel_size_y=ag.pixel_size_h / mag)
show_geometry(ag)
phantom = TomoPhantom.get_ImageData(num_model=1, geometry=ig)
../../_images/demos_LS_WLS_KL_TotalVariation_7_0.png
[5]:
phantom.array[phantom.array<0] = 0
# Visualise data
show2D(phantom, cmap=cmap, num_cols=1, size=(10,10), origin='upper-left')

../../_images/demos_LS_WLS_KL_TotalVariation_8_0.png
[5]:
<cil.utilities.display.show2D at 0x7fb39d93ba00>

Next, we create our simulated tomographic data by projecting our noiseless phantom to the acquisition space.

[6]:
# Create projection operator using Astra-Toolbox.
A = ProjectionOperator(ig, ag, device)

# Create an acqusition data (numerically)
sino = A.direct(phantom)
#print(np.min(sino))

# Visualise data
show2D(sino, 'simulated sinogram', cmap=cmap, size=(10,10), origin='upper-left')
../../_images/demos_LS_WLS_KL_TotalVariation_10_0.png
[6]:
<cil.utilities.display.show2D at 0x7fb395256aa0>
[7]:
# Incident intensity: lower counts will increase the noise
background_counts = 300

# Convert the simulated absorption sinogram to transmission values using Lambert-Beer.
# Use as mean for Poisson data generation.
# Convert back to absorption sinogram.
counts = background_counts * np.exp(-sino.as_array())
tmp = np.exp(-sino.as_array())
noisy_counts = np.random.poisson(counts)
nonzero = noisy_counts > 0
sino_out = np.zeros_like(sino.as_array())
sino_out[nonzero] = -np.log(noisy_counts[nonzero] / background_counts)


# allocate sino_noisy and fill with noisy data
sino_noisy = ag.allocate()
sino_noisy.fill(sino_out)


psnr_sino = psnr(sino, sino_noisy, data_range = np.max(sino))
print(psnr_sino)

# Visualize the true and noisy data
show2D([counts, noisy_counts], ['true counts', 'noisy counts'], \
       cmap=cmap, num_cols=2, size=(15,10), origin='upper-left')
## Visualize the true and noisy data
show2D([sino, sino_noisy], ['true sino', "noisy sino, psnr = %5.3f" % (psnr_sino)], \
       cmap=cmap, num_cols=2, size=(15,10), origin='upper-left')
#plt.savefig("Sinogram_I0_%7.f.png" %(background_counts))
12.732529879336653
../../_images/demos_LS_WLS_KL_TotalVariation_11_1.png
../../_images/demos_LS_WLS_KL_TotalVariation_11_2.png
[7]:
<cil.utilities.display.show2D at 0x7fb3844eba30>

Reconstruct the noisy data using FBP#

[8]:
# reconstruct full data
# configure FBP
fbp = FBP(ig, ag, device)
# run on the AcquisitionData
recon_fbp = fbp(sino_noisy)
psnr_fbp = psnr(phantom,recon_fbp, np.max(phantom))
#print(psnr_fbp)
[9]:
show2D([phantom, recon_fbp], ['phantom', 'FBP reconstruction'], \
       cmap=cmap, fix_range=(0,1),num_cols=2, size=(10,10), origin='upper-left')



../../_images/demos_LS_WLS_KL_TotalVariation_14_0.png
[9]:
<cil.utilities.display.show2D at 0x7fb395256860>

Reconstructing the noisy data using least squares (LS)#

So, for the LS problem, we want to minimize the following with respect to \(x\):

\[||Y-Ax||_{2}^{2}\]
[10]:

#Definition of the fidelity term f = LeastSquares(A, sino_noisy) # Setting up FISTA myFISTA = FISTA(f=f, g=ZeroFunction(), max_iteration=5000, initial=ig.allocate(0), update_objective_interval=100) # Run FISTA myFISTA.run(300, verbose=1) recon_ls = myFISTA.solution psnr_ls= psnr(phantom,recon_ls, data_range = np.max(phantom))
     Iter   Max Iter     Time/Iter            Objective
                               [s]
        0       5000         0.000          3.08699e+03
      100       5000         0.032          3.05872e+02
      200       5000         0.032          2.86414e+02
      300       5000         0.033          2.78917e+02
-------------------------------------------------------
      300       5000         0.033          2.78917e+02
Stop criterion has been reached.

[11]:
# get and visusualise the results
show2D([phantom, recon_fbp, recon_ls ], ["phantom, I0 = %7.0f" % (background_counts), "FBP, psnr= %5.3f" % (psnr_fbp),\
    " psnr= %5.3f" % (psnr_ls)], \
       cmap=cmap, fix_range =(0,1), num_cols=3, size=(15,10), origin='upper-left')
../../_images/demos_LS_WLS_KL_TotalVariation_17_0.png
[11]:
<cil.utilities.display.show2D at 0x7fb395256d40>
[12]:
#Visualise the results using a line plot
linenumy=128
plt.figure(figsize=(15,10))
plt.plot(phantom.get_slice(horizontal_y=linenumy).as_array(),':k',label="phantom")
plt.plot(recon_fbp.get_slice(horizontal_y=linenumy).as_array(),label="fbp")
plt.plot(recon_ls.get_slice(horizontal_y=linenumy).as_array(),label="ls fista")
plt.legend(fontsize=20)
plt.show()
../../_images/demos_LS_WLS_KL_TotalVariation_18_0.png

Reconstructing the noisy data using weighted least squares (WLS)#

So, for the LS problem, we want to minimize the following:

\[||Y-Ax||_{W}^{2}\]

following the derivation in section 6.54 of the book Computed Tomography: From Photon Statistics to Modern Cone-BEam CT by Thorsten Buzug we take the weights to be proportional to the noisy counts.

[13]:

#Definition of the fidelity term weights=noisy_counts/background_counts c = ag.allocate(0) c.fill(weights) WF = LeastSquares(A, sino_noisy, 1,c) # Setting up FISTA myFISTA = FISTA(f=WF, g=ZeroFunction(), max_iteration=5000, initial=ig.allocate(0), update_objective_interval=100) # Run FISTA myFISTA.run(300, verbose=1) recon_wls = myFISTA.solution psnr_wls= psnr(phantom,recon_wls, data_range = np.max(phantom))
     Iter   Max Iter     Time/Iter            Objective
                               [s]
        0       5000         0.000          2.52433e+03
      100       5000         0.034          2.74321e+02
      200       5000         0.035          2.55345e+02
      300       5000         0.034          2.47674e+02
-------------------------------------------------------
      300       5000         0.034          2.47674e+02
Stop criterion has been reached.

[14]:
# get and visusualise the results
show2D([phantom, recon_fbp, recon_wls ], ["phantom, I0 = %7.0f" % (background_counts), "FBP, psnr= %5.3f" % (psnr_fbp),\
    " psnr= %5.3f" % (psnr_wls)], \
       cmap=cmap, fix_range =(0,1), num_cols=3, size=(15,10), origin='upper-left')
../../_images/demos_LS_WLS_KL_TotalVariation_21_0.png
[14]:
<cil.utilities.display.show2D at 0x7fb39551c400>
[15]:
#Visualise the results using a line plot
linenumy=128
plt.figure(figsize=(15,10))
plt.plot(phantom.get_slice(horizontal_y=linenumy).as_array(),':k',label="phantom")
plt.plot(recon_fbp.get_slice(horizontal_y=linenumy).as_array(),label="fbp")
plt.plot(recon_ls.get_slice(horizontal_y=linenumy).as_array(),label="ls fista")
plt.plot(recon_wls.get_slice(horizontal_y=linenumy).as_array(),label="wls fista")
plt.legend(fontsize=20)
plt.show()
../../_images/demos_LS_WLS_KL_TotalVariation_22_0.png

We can visualise the weights used. The more data that is meaured, the smaller the signal variance and the data is weighted to be more reliable in the minimisation.

[16]:
show2D(weights)
../../_images/demos_LS_WLS_KL_TotalVariation_24_0.png
[16]:
<cil.utilities.display.show2D at 0x7fb395116530>

Reconstruct the noisy data using Kullback Liebler (KL) divergence#

If \(u \sim \mathrm{Poiss}(v)\), the maximum likelihood of \(v\) given observation \(u\) is found by minimising with respect to \(v\) the objective

\[KL(u,v) = u \log\left(\frac{u}{v}\right)-u+v.\]

Considering

\[b = \mathrm{Poiss}\left(I_{0} e^{-Ax}\right)\]

we can define:

\[KL(b,I_{0} e^{-Ax}) = \sum_{i} \bigg[b_{i} \log \left(\frac{b_{i}}{I_{0} e^{-(Ax)_{i}}}\right) - b_{i} + I_{0} e^{-(Ax)_{i}}\bigg] = \sum_{i} \bigg[ b_{i}\log(b_{i}) - b_{i} \log(I_{0}) - b_{i} \log\left(I_{0} e^{-(Ax)_{i}}\right) - b_{i} + I_{0} e^{-(Ax)_{i}} \bigg]\]

We want to minimize the KL function with respect to \(x\), so we consider

\[KL(b,I_{0} e^{-Ax}) = \sum_{i} \bigg[ b_{i} (Ax)_{i} + I_{0} e^{-(Ax)_{i}}\bigg] +\mathrm{constants}= \sum_{i} \bigg[ \frac{b_{i}}{I_{0}}(Ax)_{i} + e^{-(Ax)_{i}}\bigg]+\mathrm{constants}\]
[17]:
#Defining the KL fidelity term
class KL_prelog(Function):
    def __init__(self, d):
        super(KL_prelog, self).__init__(L=1)
        self.d  = d   # d = b/I0

    #@property
    #def L(self):
    #    return 0.00001

    def __call__(self, x):
        vec = x.as_array()
        res = self.d*vec+np.exp(-vec)
        return np.sum(res)


    def gradient(self, x, out=None):
        vec  = x.as_array()
        der  = self.d-np.exp(-vec)
        #res2 = np.sum(der)
        if out is not None:
            out.fill (der)
        else:
            return der
[18]:
#Definition of the fidelity term
d2 = noisy_counts/background_counts
KL_pre = KL_prelog(d = d2)
f_KL = OperatorCompositionFunction(KL_pre, A)


# Setting up FISTA
myFISTA = FISTA(f=f_KL,
            g=ZeroFunction(),
            max_iteration=5000, initial=ig.allocate(0), update_objective_interval=100)
# Run FISTA
myFISTA.run(200, verbose=1)
recon_kl = myFISTA.solution
psnr_kl= psnr(phantom,recon_kl, data_range = np.max(phantom))
     Iter   Max Iter     Time/Iter            Objective
                               [s]
        0       5000         0.000          1.28000e+05
      100       5000         0.035          1.26785e+05
      200       5000         0.036          1.26776e+05
-------------------------------------------------------
      200       5000         0.036          1.26776e+05
Stop criterion has been reached.

[19]:
# get and visusualise the results
show2D([phantom, recon_fbp, recon_kl ], ["phantom, I0 = %7.0f" % (background_counts), "FBP, psnr= %5.3f" % (psnr_fbp),\
    " psnr= %5.3f" % (psnr_kl)], \
       cmap=cmap, fix_range =(0,1), num_cols=3, size=(15,10), origin='upper-left')
../../_images/demos_LS_WLS_KL_TotalVariation_28_0.png
[19]:
<cil.utilities.display.show2D at 0x7fb3844b51e0>
[20]:
#Visualise the results using a line plot
linenumy=128
plt.figure(figsize=(15,10))
plt.plot(phantom.get_slice(horizontal_y=linenumy).as_array(),':k',label="phantom")
plt.plot(recon_fbp.get_slice(horizontal_y=linenumy).as_array(),label="fbp")
plt.plot(recon_ls.get_slice(horizontal_y=linenumy).as_array(),label="ls fista")
plt.plot(recon_wls.get_slice(horizontal_y=linenumy).as_array(),label="wls fista")
plt.plot(recon_kl.get_slice(horizontal_y=linenumy).as_array(),label="kl fista")
plt.legend(fontsize=20)
plt.show()
../../_images/demos_LS_WLS_KL_TotalVariation_29_0.png

Comparisons without regularisation#

[21]:

show2D([phantom, recon_fbp, recon_ls,recon_wls, recon_kl ], ["phantom, I0 = %7.0f" % (background_counts), "FBP, psnr= %5.3f" % (psnr_fbp),\ "LS psnr= %5.3f" % (psnr_ls),\ "WLS psnr= %5.3f" % (psnr_wls), \ "KL psnr= %5.3f" % (psnr_kl)], \ cmap=cmap, fix_range =(0,1), num_cols=3, origin='upper-left')
../../_images/demos_LS_WLS_KL_TotalVariation_31_0.png
[21]:
<cil.utilities.display.show2D at 0x7fb38dbc6740>

The KL reconstruction is better than the WLS reconstruction which is better than the LS reconstruction. However, all the above reconstructions are worse than the FDK reconcstruction and seem to be overfitting to the noise. In the next section, we consider reconstructions with TV regularisation.

Reconstructing the noisy data using least squares with Total Variation regualrisation#

In addition to the least-square term, we considered a Total Variation Regulariser. So, for the LS-TV problem, we want to minimize the following:

\[||Y-Ax||_{2}^{2} + \alpha \, TV(x)\]

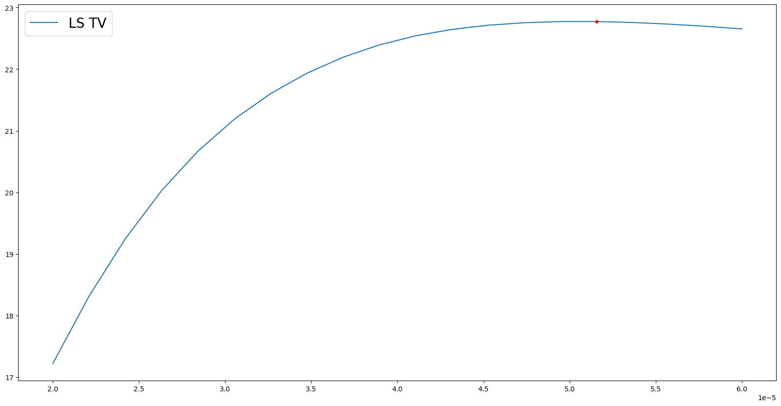
where \(\alpha\) is the regularization parameter that balances the two terms. In the next box, we search over a range of values of \(\alpha\) to find the best one for our data.

[22]:
# Selection of the best regularization parametr using LS TV - FISTA
alpha_min = 0.00002
alpha_max = 0.00006
alpha_n   = 20
alphas_ls    = np.linspace(alpha_min, alpha_max, alpha_n)
modulo    = 5 #how often to plot the reconstructions, for the different values of alpha

#Definition of the fidelity term
f3 = LeastSquares(A, sino_noisy)

#Initialize quantities
psnr_ls_tv_alpha = np.zeros_like(alphas_ls)
max_psnr = 0

# Run the loop over the different values of alpha
for i in range(alpha_n):
    alpha = alphas_ls[i]
    # Defining the regularization term with the new alpha
    GTV = alpha*TotalVariation()
    # Setting up FISTA
    myFISTATV = FISTA(f=f3,
                  g=GTV,
                  max_iteration=100, initial=ig.allocate(0))
    # Run FISTA
    myFISTATV.run(100, verbose=0)
    recon_ls_tv = myFISTATV.solution
    psnr_ls_tv_alpha[i] = psnr(phantom,recon_ls_tv, data_range = np.max(phantom))



    # Save the reconstruction (one every "modulo")
    if i%modulo == 0:
        show2D([recon_ls_tv], ["LS TV alpha=%7.6f, psnr = %7.5f" % (alpha,psnr_ls_tv_alpha[i])], cmap=cmap,fix_range=(0,1), size=(10,10), origin='upper-left')
         # plot the objective function
        plt.figure(figsize=(5,5))
        plt.plot( myFISTATV.objective[1:],label="alpha =%7.6f" % (alpha))
        plt.legend(fontsize=10)
        plt.show()

    # print the value of alpha and the obtained psnr of the reconstruction
    print("alpha=%7.6f, psnr= %5.3f" % (alpha,psnr_ls_tv_alpha[i]))

    # Save the best reconstruction
    if psnr_ls_tv_alpha[i]>max_psnr:
        max_psnr   = psnr_ls_tv_alpha[i]
        best_recon = recon_ls_tv
        best_alpha = alpha
../../_images/demos_LS_WLS_KL_TotalVariation_34_0.png
../../_images/demos_LS_WLS_KL_TotalVariation_34_1.png
alpha=0.000020, psnr= 17.222
alpha=0.000022, psnr= 18.315
alpha=0.000024, psnr= 19.247
alpha=0.000026, psnr= 20.028
alpha=0.000028, psnr= 20.667
../../_images/demos_LS_WLS_KL_TotalVariation_34_3.png
../../_images/demos_LS_WLS_KL_TotalVariation_34_4.png
alpha=0.000031, psnr= 21.184
alpha=0.000033, psnr= 21.600
alpha=0.000035, psnr= 21.932
alpha=0.000037, psnr= 22.192
alpha=0.000039, psnr= 22.392
../../_images/demos_LS_WLS_KL_TotalVariation_34_6.png
../../_images/demos_LS_WLS_KL_TotalVariation_34_7.png
alpha=0.000041, psnr= 22.540
alpha=0.000043, psnr= 22.644
alpha=0.000045, psnr= 22.712
alpha=0.000047, psnr= 22.752
alpha=0.000049, psnr= 22.772
../../_images/demos_LS_WLS_KL_TotalVariation_34_9.png
../../_images/demos_LS_WLS_KL_TotalVariation_34_10.png
alpha=0.000052, psnr= 22.772
alpha=0.000054, psnr= 22.756
alpha=0.000056, psnr= 22.729
alpha=0.000058, psnr= 22.694
alpha=0.000060, psnr= 22.652
[23]:
#Save the best reconstructions
recon_ls_tv_fista = best_recon
psnr_ls_tv_fista  = max_psnr
alpha_ls_tv_fista = best_alpha
[24]:
# PSNR for different values of alpha
plt.figure(figsize=(20,10))
plt.plot(alphas_ls,psnr_ls_tv_alpha,label="LS TV")
plt.plot(alpha_ls_tv_fista, psnr_ls_tv_fista, '*r')
plt.legend(fontsize=20)
plt.show()

../../_images/demos_LS_WLS_KL_TotalVariation_36_0.png
[25]:
# get and visusualise the results
show2D([phantom, recon_fbp, recon_ls_tv_fista ], ["phantom, I0 = %7.0f" % (background_counts), "FBP, psnr= %5.3f" % (psnr_fbp),\
    "LS TV FISTA alpha=%7.6f, psnr= %5.3f" % (alpha_ls_tv_fista,psnr_ls_tv_fista)], \
       cmap=cmap, fix_range =(0,1), num_cols=3, size=(15,10), origin='upper-left')

../../_images/demos_LS_WLS_KL_TotalVariation_37_0.png
[25]:
<cil.utilities.display.show2D at 0x7fb38dc47d90>
[26]:
#Visualise the results using a line plot
linenumy=128
plt.figure(figsize=(15,10))
plt.plot(phantom.get_slice(horizontal_y=linenumy).as_array(),':k',label="phantom")
plt.plot(recon_fbp.get_slice(horizontal_y=linenumy).as_array(),label="fbp")
plt.plot(recon_ls_tv_fista.get_slice(horizontal_y=linenumy).as_array(),label="ls tv fista")
plt.legend(fontsize=20)
plt.show()
../../_images/demos_LS_WLS_KL_TotalVariation_38_0.png

Reconstructing the noisy data using least squares with Total Variation regualrisation#

Similar to the least squares cas, in addition to the weighted least square term, we considered a Total Variation Regulariser. We minimize:

\[||Y-Ax||_{W}^{2} + \alpha \, TV(x)\]

where \(\alpha\) is the regularization parameter that balances the two terms. Again we search a range of values of \(\alpha\) to find the best one for the data.

[27]:
# Selection of the best regularization parameter using WLS TV - FISTA
alpha_min = 0.00002
alpha_max = 0.00006
alpha_n   = 20
alphas_wls   = np.linspace(alpha_min, alpha_max, alpha_n)
modulo    = 5 #10 #how often to plot reconstructions, for the different values of alpha

#Definition of the fidelity term
weights=noisy_counts/background_counts
c = ag.allocate(0)
c.fill(weights)
WF = LeastSquares(A, sino_noisy, 1,c)

#Initialize quantities
psnr_wls_tv_alpha = np.zeros_like(alphas_wls)
w_max_psnr = 0

# Run the loop over the different values of alpha
for i in range(alpha_n):
    alpha = alphas_wls[i]
    # Defining the regularization term with the new alpha
    GTV = alpha*TotalVariation()
    # Setting up FISTA
    myFISTAWTV = FISTA(f=WF,
                  g=GTV,
                  max_iteration=100, initial=ig.allocate(0))
    # Run FISTA
    myFISTAWTV.run(100, verbose=0)
    recon_wls_tv = myFISTAWTV.solution
    psnr_wls_tv_alpha[i] = psnr(phantom,recon_wls_tv, data_range = np.max(phantom))

    # Plot the reconstruction (one every "modulo")
    if i%modulo == 0:

        # plot the reconstruction
        show2D([recon_wls_tv], ["WLS TV alpha=%7.6f, psnr = %7.5f" % (alpha,psnr_wls_tv_alpha[i])], \
        cmap=cmap,fix_range=(0,1), size=(10,10), origin='upper-left')
        # plot the objective function
        plt.figure(figsize=(5,5))
        plt.plot( myFISTAWTV.objective[1:],label="alpha =%7.6f" % (alpha))
        plt.legend(fontsize=10)
        plt.show()


    # print the value of alpha and the obtained psnr of the reconstruction
    print("alpha=%7.6f, psnr= %5.3f" % (alpha,psnr_wls_tv_alpha[i]))

    # Save the best reconstruction
    if psnr_wls_tv_alpha[i]>w_max_psnr:
        w_max_psnr   = psnr_wls_tv_alpha[i]
        w_best_recon = recon_wls_tv
        w_best_alpha = alpha
../../_images/demos_LS_WLS_KL_TotalVariation_40_0.png
../../_images/demos_LS_WLS_KL_TotalVariation_40_1.png
alpha=0.000020, psnr= 18.611
alpha=0.000022, psnr= 19.630
alpha=0.000024, psnr= 20.455
alpha=0.000026, psnr= 21.108
alpha=0.000028, psnr= 21.611
../../_images/demos_LS_WLS_KL_TotalVariation_40_3.png
../../_images/demos_LS_WLS_KL_TotalVariation_40_4.png
alpha=0.000031, psnr= 21.991
alpha=0.000033, psnr= 22.275
alpha=0.000035, psnr= 22.479
alpha=0.000037, psnr= 22.621
alpha=0.000039, psnr= 22.711
../../_images/demos_LS_WLS_KL_TotalVariation_40_6.png
../../_images/demos_LS_WLS_KL_TotalVariation_40_7.png
alpha=0.000041, psnr= 22.762
alpha=0.000043, psnr= 22.781
alpha=0.000045, psnr= 22.778
alpha=0.000047, psnr= 22.758
alpha=0.000049, psnr= 22.725
../../_images/demos_LS_WLS_KL_TotalVariation_40_9.png
../../_images/demos_LS_WLS_KL_TotalVariation_40_10.png
alpha=0.000052, psnr= 22.680
alpha=0.000054, psnr= 22.626
alpha=0.000056, psnr= 22.566
alpha=0.000058, psnr= 22.500
alpha=0.000060, psnr= 22.431
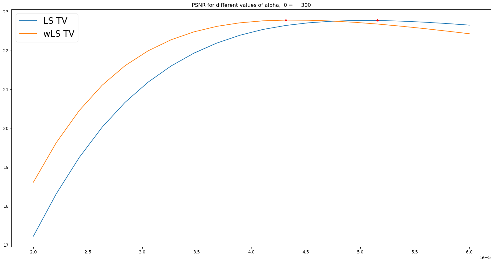
[28]:
#save the best reconstruction
recon_wls_tv_fista = w_best_recon
psnr_wls_tv_fista  = w_max_psnr
alpha_wls_tv_fista = w_best_alpha

[29]:
# PSNR for different values of alpha
plt.figure(figsize=(20,10))
plt.plot(alphas_ls,psnr_ls_tv_alpha,label="LS TV")
plt.plot(alphas_wls,psnr_wls_tv_alpha,label="wLS TV")
plt.plot(alpha_ls_tv_fista, psnr_ls_tv_fista, '*r')
plt.plot(alpha_wls_tv_fista, psnr_wls_tv_fista, '*r')
plt.legend(fontsize=20)
plt.title("PSNR for different values of alpha, I0 = %7.f" % (background_counts))
plt.show()

../../_images/demos_LS_WLS_KL_TotalVariation_42_0.png
[30]:
#Visualise the results
show2D([phantom, recon_fbp, recon_wls_tv_fista ], ["phantom, I0 = %7.0f" % (background_counts), "FBP, psnr= %5.3f" % (psnr_fbp),\
    "WLS TV FISTA alpha=%7.6f, psnr= %5.3f" % (alpha_wls_tv_fista,psnr_wls_tv_fista)], \
       cmap=cmap, fix_range =(0,1), num_cols=3, size=(15,10), origin='upper-left')

../../_images/demos_LS_WLS_KL_TotalVariation_43_0.png
[30]:
<cil.utilities.display.show2D at 0x7fb345ef5f60>
[31]:
#Use a line plot to compare the reconstructions
plt.figure(figsize=(20,10))
plt.plot(phantom.get_slice(horizontal_y=linenumy).as_array(),':k',label="phantom")
plt.plot(recon_fbp.get_slice(horizontal_y=linenumy).as_array(),label="FBP")
plt.plot(recon_ls_tv_fista.get_slice(horizontal_y=linenumy).as_array(),label="LS TV")
plt.plot(recon_wls_tv_fista.get_slice(horizontal_y=linenumy).as_array(),label="WLS TV")
plt.legend(fontsize=20)
plt.title("Reconstruction line horizontal=%3.0f , I0 = %7.f" % (linenumy,background_counts))
plt.show()
../../_images/demos_LS_WLS_KL_TotalVariation_44_0.png

Reconstructing the noisy data using KL divergence with TV regularisation#

As in the least squares and weighted least squares case, we add in a TV regularisation term and search for an optimal regularisation parameter.

[32]:
# Selection of the best regularization parametr using KL TV - FISTA
alpha_min = 0.000005
alpha_max = 0.000045
alpha_n   = 20
alphas_kl    = np.linspace(alpha_min, alpha_max, alpha_n)
modulo    = 5 #10 #how often to save reconstructions, for the different values of alpha

#Definition of the fidelity term
d2 = noisy_counts/background_counts
KL_pre = KL_prelog(d = d2)
f_KL = OperatorCompositionFunction(KL_pre, A)

#Initialize quantities
psnr_kl_tv_alpha = np.zeros_like(alphas_kl)
kl_max_psnr = 0

# Run the loop over the different values of alpha
for i in range(alpha_n):
    alpha = alphas_kl[i]
    # Defining the regularization term with the new alpha
    GTV = alpha*TotalVariation()
    # Setting up FISTA
    myFISTAKLTV = FISTA(f=f_KL,
                  g=GTV,
                  max_iteration=100, initial=ig.allocate(0))
    # Run FISTA
    myFISTAKLTV.run(100, verbose=0)
    recon_kl_tv = myFISTAKLTV.solution
    psnr_kl_tv_alpha[i] = psnr(phantom,recon_kl_tv, data_range = np.max(phantom))



    # Plot the reconstruction (one every "modulo")
    if i%modulo == 0:
        # plot the objective function
        plt.figure(figsize=(5,5))
        plt.plot( myFISTAKLTV.objective[1:],label="alpha =%7.6f" % (alpha))
        plt.legend(fontsize=10)

        # plot the reconstruction
        show2D([recon_kl_tv], ["KL TV alpha=%7.6f, psnr = %7.5f" % (alpha,psnr_kl_tv_alpha[i])], \
        cmap=cmap,fix_range=(0,1), size=(10,10), origin='upper-left')


    # print the value of alpha and the obtained psnr of the reconstruction
    print("alpha=%7.6f, psnr= %5.3f" % (alpha,psnr_kl_tv_alpha[i]))

    # Save the best reconstruction
    if psnr_kl_tv_alpha[i]>kl_max_psnr:
        kl_max_psnr   = psnr_kl_tv_alpha[i]
        kl_best_recon = recon_kl_tv
        kl_best_alpha = alpha
../../_images/demos_LS_WLS_KL_TotalVariation_47_0.png
../../_images/demos_LS_WLS_KL_TotalVariation_47_1.png
alpha=0.000005, psnr= 11.235
alpha=0.000007, psnr= 14.860
alpha=0.000009, psnr= 17.799
alpha=0.000011, psnr= 19.910
alpha=0.000013, psnr= 21.271
../../_images/demos_LS_WLS_KL_TotalVariation_47_3.png
../../_images/demos_LS_WLS_KL_TotalVariation_47_4.png
alpha=0.000016, psnr= 22.088
alpha=0.000018, psnr= 22.545
alpha=0.000020, psnr= 22.754
alpha=0.000022, psnr= 22.813
alpha=0.000024, psnr= 22.783
../../_images/demos_LS_WLS_KL_TotalVariation_47_6.png
../../_images/demos_LS_WLS_KL_TotalVariation_47_7.png
alpha=0.000026, psnr= 22.702
alpha=0.000028, psnr= 22.588
alpha=0.000030, psnr= 22.455
alpha=0.000032, psnr= 22.310
alpha=0.000034, psnr= 22.158
../../_images/demos_LS_WLS_KL_TotalVariation_47_9.png
../../_images/demos_LS_WLS_KL_TotalVariation_47_10.png
alpha=0.000037, psnr= 22.004
alpha=0.000039, psnr= 21.847
alpha=0.000041, psnr= 21.689
alpha=0.000043, psnr= 21.536
alpha=0.000045, psnr= 21.389
[33]:
#Save the optimal parameters
recon_kl_tv_fista = kl_best_recon
psnr_kl_tv_fista  = kl_max_psnr
alpha_kl_tv_fista = kl_best_alpha

[ ]:

[34]:
#PSNR for different values of alpha
plt.figure(figsize=(20,10))
plt.plot(alphas_ls,psnr_ls_tv_alpha,label="LS TV")
plt.plot(alphas_wls,psnr_wls_tv_alpha,label="wLS TV")
plt.plot(alphas_kl,psnr_kl_tv_alpha,label="KL TV")
plt.plot(alpha_ls_tv_fista, psnr_ls_tv_fista, '*r')
plt.plot(alpha_wls_tv_fista, psnr_wls_tv_fista, '*r')
plt.plot(alpha_kl_tv_fista, psnr_kl_tv_fista, '*r')
plt.legend(fontsize=20)
plt.title("PSNR for different values of alpha, I0 = %7.f" % (background_counts))
plt.show()
../../_images/demos_LS_WLS_KL_TotalVariation_50_0.png

We see for that different loss terms there is a different optimal regularisation parameter/

[35]:
#Visualise the reconstructions
show2D([phantom, recon_fbp, recon_kl_tv_fista ], ["phantom, I0 = %7.0f" % (background_counts), "FBP, psnr= %5.3f" % (psnr_fbp),\
    "KL TV FISTA alpha=%7.6f, psnr= %5.3f" % (alpha_kl_tv_fista,psnr_kl_tv_fista)], \
       cmap=cmap, fix_range =(0,1), num_cols=3, size=(15,10), origin='upper-left')

../../_images/demos_LS_WLS_KL_TotalVariation_52_0.png
[35]:
<cil.utilities.display.show2D at 0x7fb345a16650>
[36]:
#And a line plot again
plt.figure(figsize=(20,10))
plt.plot(phantom.get_slice(horizontal_y=linenumy).as_array(),':k',label="phantom")
plt.plot(recon_fbp.get_slice(horizontal_y=linenumy).as_array(),label="FBP")
plt.plot(recon_ls_tv_fista.get_slice(horizontal_y=linenumy).as_array(),label="LS TV")
plt.plot(recon_wls_tv_fista.get_slice(horizontal_y=linenumy).as_array(),label="WLS TV")
plt.plot(recon_kl_tv_fista.get_slice(horizontal_y=linenumy).as_array(),label="KL TV")
plt.legend(fontsize=20)
plt.title("Reconstruction line horizontal=%3.0f , I0 = %7.f" % (linenumy,background_counts))
plt.show()

../../_images/demos_LS_WLS_KL_TotalVariation_53_0.png

Comparisons with TV#

[37]:

show2D([phantom, recon_fbp, recon_ls_tv_fista,recon_wls_tv_fista, recon_kl_tv_fista ], ["phantom, I0 = %7.0f" % (background_counts), "FBP, psnr= %5.3f" % (psnr_fbp),\ "LS TV FISTA alpha=%7.6f, psnr= %5.3f" % (alpha_ls_tv_fista,psnr_ls_tv_fista),\ "WLS TV FISTA alpha=%7.6f, psnr= %5.3f" % (alpha_wls_tv_fista,psnr_wls_tv_fista), \ "KL TV FISTA alpha=%7.6f, psnr= %5.3f" % (alpha_kl_tv_fista,psnr_kl_tv_fista)], \ cmap=cmap, fix_range =(0,1), num_cols=3, origin='upper-left')
../../_images/demos_LS_WLS_KL_TotalVariation_55_0.png
[37]:
<cil.utilities.display.show2D at 0x7fb38c9eed70>

Compare all the reconstructions#

[38]:
show2D([phantom, recon_fbp, recon_ls, recon_wls_tv_fista, recon_wls, recon_wls_tv_fista,  recon_kl, recon_kl_tv_fista ], ["phantom, I0 = %7.0f" % (background_counts), "FBP, psnr= %5.3f" % (psnr_fbp),\
   "LS  psnr= %5.3f" % (psnr_ls), "LS TV FISTA alpha=%7.6f, psnr= %5.3f" % (alpha_ls_tv_fista,psnr_ls_tv_fista), \
    "WLS   psnr= %5.3f" % (psnr_wls),  "WLS TV FISTA alpha=%7.6f, psnr= %5.3f" % (alpha_wls_tv_fista,psnr_wls_tv_fista), \
    "KL  psnr= %5.3f" % (psnr_kl),    "KL TV FISTA alpha=%7.6f, psnr= %5.3f" % (alpha_kl_tv_fista,psnr_kl_tv_fista)], \
       cmap=cmap, fix_range =(0,1), num_cols=2, origin='upper-left')


../../_images/demos_LS_WLS_KL_TotalVariation_57_0.png
[38]:
<cil.utilities.display.show2D at 0x7fb38c9efd00>

Comparisons between LS, WLS and KL loss for a range of counts#

We consider again without regularisation and try a range of different background counts. We see a similar pattern in the PSNR with the KL reconstruction giving an improvement on the WLS reconstruction which improves on the LS reconstruction. We see that the KL divergence loss makes the reconstruction less likely to overfit to the noise in the background where there is a large number of counts and thus less uncertainty. We still see that regularisation is required as the solution is not an improvement on the FBP reconstruction

[39]:
# Incident intensity: lower counts will increase the noise
for background_counts in range (500,20000, 500):

    # Convert the simulated absorption sinogram to transmission values using Lambert-Beer.
    # Use as mean for Poisson data generation.
    # Convert back to absorption sinogram.
    counts = background_counts * np.exp(-sino.as_array())
    tmp = np.exp(-sino.as_array())
    noisy_counts = np.random.poisson(counts)
    nonzero = noisy_counts > 0
    sino_out = np.zeros_like(sino.as_array())
    sino_out[nonzero] = -np.log(noisy_counts[nonzero] / background_counts)


    # allocate sino_noisy and fill with noisy data
    sino_noisy = ag.allocate()
    sino_noisy.fill(sino_out)


    #FBP reconstruction
    recon_fbp = fbp(sino_noisy)
    psnr_fbp = psnr(phantom,recon_fbp, np.max(phantom))

    #Definition of the fidelity term for LS
    f = LeastSquares(A, sino_noisy)


    # Setting up FISTA
    myFISTA = FISTA(f=f,
                g=ZeroFunction(),
                max_iteration=5000, initial=ig.allocate(0), update_objective_interval=100)
    # Run FISTA
    myFISTA.run(300, verbose=0)
    recon_ls = myFISTA.solution
    psnr_ls= psnr(phantom,recon_ls, data_range = np.max(phantom))


    #Definition of the fidelity term for WLS

    weights=noisy_counts/background_counts
    c = ag.allocate(0)
    c.fill(weights)
    WF = LeastSquares(A, sino_noisy, 1,c)


    # Setting up FISTA
    myFISTA = FISTA(f=WF,
                g=ZeroFunction(),
                max_iteration=1000, initial=ig.allocate(0), update_objective_interval=100)
    # Run FISTA
    myFISTA.run(300, verbose=0)
    recon_wls = myFISTA.solution
    psnr_wls= psnr(phantom,recon_wls, data_range = np.max(phantom))

    #Definition of the fidelity term
    d2 = noisy_counts/background_counts
    KL_pre = KL_prelog(d = d2)
    f_KL = OperatorCompositionFunction(KL_pre, A)


    # Setting up FISTA
    myFISTA = FISTA(f=f_KL,
                g=ZeroFunction(),
                max_iteration=200, initial=ig.allocate(0), update_objective_interval=100)
    # Run FISTA
    myFISTA.run(200, verbose=0)
    recon_kl = myFISTA.solution
    psnr_kl= psnr(phantom,recon_kl, data_range = np.max(phantom))

    # get and visusualise the results

    show2D([phantom, recon_fbp, recon_ls,recon_wls, recon_kl ], ["phantom, I0 = %7.0f" % (background_counts), "FBP, psnr= %5.3f" % (psnr_fbp),\
        "LS psnr= %5.3f" % (psnr_ls),\
        "WLS psnr= %5.3f" % (psnr_wls), \
        "KL psnr= %5.3f" % (psnr_kl)], \
        cmap=cmap, fix_range =(0,1), num_cols=5, origin='upper-left')
../../_images/demos_LS_WLS_KL_TotalVariation_59_0.png
../../_images/demos_LS_WLS_KL_TotalVariation_59_1.png
../../_images/demos_LS_WLS_KL_TotalVariation_59_2.png
../../_images/demos_LS_WLS_KL_TotalVariation_59_3.png
../../_images/demos_LS_WLS_KL_TotalVariation_59_4.png
../../_images/demos_LS_WLS_KL_TotalVariation_59_5.png
../../_images/demos_LS_WLS_KL_TotalVariation_59_6.png
../../_images/demos_LS_WLS_KL_TotalVariation_59_7.png
../../_images/demos_LS_WLS_KL_TotalVariation_59_8.png
../../_images/demos_LS_WLS_KL_TotalVariation_59_9.png
../../_images/demos_LS_WLS_KL_TotalVariation_59_10.png
../../_images/demos_LS_WLS_KL_TotalVariation_59_11.png
../../_images/demos_LS_WLS_KL_TotalVariation_59_12.png
../../_images/demos_LS_WLS_KL_TotalVariation_59_13.png
../../_images/demos_LS_WLS_KL_TotalVariation_59_14.png
../../_images/demos_LS_WLS_KL_TotalVariation_59_15.png
../../_images/demos_LS_WLS_KL_TotalVariation_59_16.png
../../_images/demos_LS_WLS_KL_TotalVariation_59_17.png
../../_images/demos_LS_WLS_KL_TotalVariation_59_18.png
../../_images/demos_LS_WLS_KL_TotalVariation_59_19.png
../../_images/demos_LS_WLS_KL_TotalVariation_59_20.png
../../_images/demos_LS_WLS_KL_TotalVariation_59_21.png
../../_images/demos_LS_WLS_KL_TotalVariation_59_22.png
../../_images/demos_LS_WLS_KL_TotalVariation_59_23.png
../../_images/demos_LS_WLS_KL_TotalVariation_59_24.png
../../_images/demos_LS_WLS_KL_TotalVariation_59_25.png
../../_images/demos_LS_WLS_KL_TotalVariation_59_26.png
../../_images/demos_LS_WLS_KL_TotalVariation_59_27.png
../../_images/demos_LS_WLS_KL_TotalVariation_59_28.png
../../_images/demos_LS_WLS_KL_TotalVariation_59_29.png
../../_images/demos_LS_WLS_KL_TotalVariation_59_30.png
../../_images/demos_LS_WLS_KL_TotalVariation_59_31.png
../../_images/demos_LS_WLS_KL_TotalVariation_59_32.png
../../_images/demos_LS_WLS_KL_TotalVariation_59_33.png
../../_images/demos_LS_WLS_KL_TotalVariation_59_34.png
../../_images/demos_LS_WLS_KL_TotalVariation_59_35.png
../../_images/demos_LS_WLS_KL_TotalVariation_59_36.png
../../_images/demos_LS_WLS_KL_TotalVariation_59_37.png
../../_images/demos_LS_WLS_KL_TotalVariation_59_38.png
[ ]: