[1]:
# -*- coding: utf-8 -*-
#  Copyright 2023 United Kingdom Research and Innovation
#
#  Licensed under the Apache License, Version 2.0 (the "License");
#  you may not use this file except in compliance with the License.
#  You may obtain a copy of the License at
#
#      http://www.apache.org/licenses/LICENSE-2.0
#
#  Unless required by applicable law or agreed to in writing, software
#  distributed under the License is distributed on an "AS IS" BASIS,
#  WITHOUT WARRANTIES OR CONDITIONS OF ANY KIND, either express or implied.
#  See the License for the specific language governing permissions and
#  limitations under the License.
#
#   Authored by:  Justus Sagemüller  (KTH)
#   Authored by:  Margaret Duff (STFC-UKRI)
#   Reviewed by: Jakob Sauer Jørgensen (DTU)

A CIL-pytorch example using DeepInverse using a pre-trained denoiser in the CIL FISTA algorithm#

This notebook covers:

  • How to set up an environment with CIL and pytorch and deep inverse

  • How to create a CIL function to wrap a pytorch function or operator

  • Examples of image reconstruction using a pre-trained denoiser in CIL

  • Timings of the data copies between pytorch and CIL

This notebook is a result of the CCPi/SyneRBi Hackathon on CIL/SIRF/Pytorch integration. Note that this notebook is the result of a day of hacking is therefore not a complete piece of work. Ideas for future work are presented at the end.

[2]:

# Import algorithms, operators and functions from CIL optimisation module from cil.optimisation.algorithms import GD, FISTA, PDHG from cil.optimisation.operators import BlockOperator, GradientOperator,\ GradientOperator from cil.optimisation.functions import IndicatorBox, MixedL21Norm, L2NormSquared, \ BlockFunction, L1Norm, LeastSquares, \ OperatorCompositionFunction, TotalVariation, Function # Import CIL Processors for preprocessing from cil.processors import CentreOfRotationCorrector, Slicer, TransmissionAbsorptionConverter # Import CIL display function from cil.utilities.display import show2D # Import from CIL ASTRA plugin from cil.plugins.astra import ProjectionOperator # Import FBP from CIL recon class from cil.recon import FBP #Import Total Variation from the regularisation toolkit plugin from cil.plugins.ccpi_regularisation.functions import FGP_TV # All external imports import matplotlib.pyplot as plt import math from time import time import gc import numpy as np

CIL Version 24.3.1#

[3]:
import cil
print(cil.__version__)
24.3.1.dev20+ga06f691f1

Dataset#

We use the parallel beam steel wire dataset from CIL dataexamples. We crop the data and slice the data to give a limited angle dataset of just 15 angles.

[4]:
# Load the example data set
from cil.utilities.dataexample import SYNCHROTRON_PARALLEL_BEAM_DATA
data_sync = SYNCHROTRON_PARALLEL_BEAM_DATA.get()

# Preprocessing
scale = data_sync.get_slice(vertical=20).mean()
data_sync = data_sync/scale
data_sync = TransmissionAbsorptionConverter()(data_sync)
data_sync = CentreOfRotationCorrector.xcorrelation(slice_index='centre')(data_sync)

# Crop data and reorder for ASTRA backend
data90 = Slicer(roi={'angle':(0,90),
                     'horizontal':(20,140,1)})(data_sync)
data90.reorder(order='astra')

# Set up a 15-angle dataset
data15 = Slicer(roi={'angle': (0,90,6)})(data90)

We reconstruct the 15-angle dataset using FBP and visualise the results

[5]:
#Reconstruct using FBP
recon15 = FBP(data15, backend='astra').run(verbose=0)
[6]:


# Define custom parameters for show2D for visualizing all reconstructions consistently sx = 44 sz = 103 ca1 = -0.01 ca2 = 0.11 slices = [('horizontal_x',sx),('vertical',sz)] show2D(recon15, slice_list=slices, cmap='inferno', fix_range=(ca1,ca2), origin='upper-left', size=(8,16));
../../_images/demos_fista_with_denoiser_9_0.png

Total Variation regularised reconstruction#

We first reconstruct with TV regularisation. We use the FISTA algorithm to solve the optimisation problem.

[7]:
ag = data15.geometry
ig = ag.get_ImageGeometry()
A = ProjectionOperator(ig, ag, device="gpu")
b = data15

F = LeastSquares(A, b)
x0 = ig.allocate(0.0)
alpha = 0.02
GTV = alpha*FGP_TV(device='gpu', nonnegativity=True)
myFISTATV = FISTA(f=F,
                  g=GTV,
                  initial=x0 ,
                  update_objective_interval = 10)

myFISTATV.run(200,verbose=1)

TV regularisation reduces many of the limited angle artefacts giving an almost cartoon like image, with constant areas and sharp edges.

[8]:
show2D([recon15, myFISTATV.solution ], title=['FDK', 'TV'],
     slice_list=('vertical',sz), cmap='inferno', fix_range=(ca1,ca2), origin='upper-left', size=(8,16));

../../_images/demos_fista_with_denoiser_13_0.png

FISTA with the proximal step replaced by a learned denoiser#

Consider using FISTA to minimise \(f(x)+\lambda g(x)\). In each FISTA update step, for current iterate \(x_k\) and stepsize \(\alpha_l\) we do the calculation:

\[x_{k+1} = \mathrm{prox}_{\alpha_k \ \lambda g} (x_k-\alpha_k \nabla f(x_k))\]

Where

\[\mathrm{prox}_{\alpha \ \lambda g}(x)=\arg\min_u \frac{1}{2}\| x-u\|+ \alpha\lambda g(u)\]

this last equation looks like a denoiser with regulariser \(g\) and regularisation parameter \(\alpha\lambda\).

The idea of Plug and Play denoisers is to replace the proximal step with any denoiser. This could be a neural network trained to remove noise from images or it could be something non-learned e.g. BM3D. We call this implicit regularisation: the denoiser will implicitly regularise the resulting solution but, in most cases, the equivalent regularisation function can’t be written out explicitly.

In order to implement this in CIL, we use the pytorch library. To install pytorch and CIL we recommend pip installing pytorch into an environment that already contains CIL.

We define a CIL Function that evaluates to 0 when it is called, but, importantly, when it’s proximal is called it transforms the CIL data container to a torch tensor and passes this torch tensor along with the scalar value used in the proximal as a noise level to the torch denoiser. It then wraps the result in a CIL data container before returning.

[9]:

import torch class DenoiserProximal(Function): """ DenoiserProximal is a custom CIL function that, when evaluated (__call__), returns 0. It implements a proximal operator via a torch-based denoiser. When the proximal() method is called, the input CIL data container is converted into a PyTorch tensor, processed with the denoiser using the specified noise level (tau), and then wrapped back into a CIL data container. Parameters: denoiser: The torch-based denoiser which accepts an input tensor and a noise level. device: The torch device (e.g., 'cuda' or 'cpu') on which the denoiser runs. """ def __init__(self, denoiser, device='cuda'): self.device = torch.device(device) self.denoiser = denoiser super(DenoiserProximal, self).__init__() def __call__(self, x): # This function merely returns 0 as its evaluation. return 0 def cil_to_torch(self, x): """ Convert a CIL data container to a PyTorch tensor. This method extracts the 'array' attribute from the input CIL data container, moves the data to the designated device, and adjusts the tensor's shape by squeezing out the first dimension and adding a channel dimension. This reshaped tensor is then ready to be passed to the denoiser denoiser. Parameters: x: A CIL data container with an 'array' attribute containing the data. Returns: torch.Tensor: A PyTorch tensor formatted for the denoiser denoiser. """ return (torch.tensor(x.array, device=self.device) .squeeze(0).unsqueeze(1)) def torch_to_cil(self, x_tens, out): """ Convert a PyTorch tensor to a CIL data container. After the denoiser processes the input, this method converts the resulting PyTorch tensor back into the format expected by a CIL data container. It performs a reverse of the shaping operations applied in cil_to_torch (i.e., removing the channel dimension and adding back the batch dimension) and updates the 'array' attribute of the output container. Parameters: x_tens (torch.Tensor): The processed tensor from the denoiser. out: A pre-allocated CIL data container to store the final output data. """ out.array[:] = (x_tens.squeeze(1).unsqueeze(0) .detach().cpu().numpy()) def proximal(self, x, tau, out=None): """ Apply the proximal operator via a torch-based denoiser to a CIL data container. This method implements the proximal step by first converting the input CIL data container to a PyTorch tensor using cil_to_torch. The tensor is then passed to the denoiser along with the provided noise level 'tau'. The output tensor is converted back into a CIL data container using torch_to_cil. If no output container is provided (i.e., out is None), a new container is allocated based on the geometry of x. Parameters: x: The input CIL data container to be processed. tau (float): A scalar noise level parameter passed to the denoiser. out: (Optional) A pre-allocated CIL data container for returning the result. If not provided, a new container is allocated. Returns: A CIL data container containing the denoiser-processed data. """ if out is None: out = x.geometry.allocate(None) with torch.no_grad(): x_torch = self.cil_to_torch(x) x_torch = self.denoiser(x_torch, tau) self.torch_to_cil(x_torch, out) return out

With this formulation can we use the FISTA algorithm as we would usually do:

F = LeastSquares(A, b)
x0 = ig.allocate(0.0)
denoiser = # denoiser model here
lamb = # regularisation parameter
regulariser = lamb*DenoiserProximal(denoiser)
myFISTADnCNN = FISTA(f=F,
                  g=regulariser,
                  initial=x0 ,
                  update_objective_interval = 10)

The deep inverse library has a range of denoisers that take a noisy image as input and return a denoised image. Some of these come with pre-trained weights. We play with a couple of these pre-trained denoisers in the next few sections.

To install deep inverse, follow the instructions here.

[10]:
import deepinv

In the below cell, set the device to be used by torch, either a GPU, if available, or the CPU

[11]:
use_cuda = torch.cuda.is_available()
device = torch.device("cuda" if use_cuda else "cpu")

DnCCN - not noise level aware#

The DnCNN architecture was introduced in https://arxiv.org/abs/1608.03981 and is composed of a series of convolutional layers with ReLU activation functions. This denoiser takes an image and returns a denoised image and is “not noise level aware”, i.e. the denoiser does not need or use any information about the amount of noise in the image.

This means that the in the calculation of the proximal, the tau constant is not used and thus changing the regularisation parameter has no effect and the denoiser gets no information on the current step size.

We can first load the denoiser with pretrained weights, define the DenoiserProximal function and see the effect of the denoiser on the FBP reconstructed image:

[12]:
denoiser = deepinv.models.DnCNN(in_channels=1, out_channels=1, pretrained='download_lipschitz', device=device)
regulariser = DenoiserProximal(denoiser, device)

TV_denoised_image = GTV.proximal(recon15, 1)
denoised_image= regulariser.proximal(recon15, 1)
show2D([recon15, TV_denoised_image, denoised_image  ], title=['FDK', 'TV denoised image', 'DnCNN denoised image'],
     slice_list=('vertical',sz), cmap='inferno', fix_range=(ca1,ca2), origin='upper-left', num_cols=3, size=(12,36) );
../../_images/demos_fista_with_denoiser_23_0.png

We can see that the DnCNN denoiser it has removed some of the artifacts in the bottom left and top right. The TV proximal has made a very cartoon like image, denoising more of the image.

We run FISTA with the denoiser as a replacement for the proximal of the regulariser. We plot the results every 50 iterations for 200 iterations.

[13]:
F = LeastSquares(A, b)
x0 = ig.allocate(0.0)
denoiser = deepinv.models.DnCNN(in_channels=1, out_channels=1, pretrained='download_lipschitz', device=device)
regulariser = DenoiserProximal(denoiser, device)

myFISTADnCNN = FISTA(f=F,
                  g=regulariser,
                  initial=x0 ,
                  update_objective_interval = 10)
for i in range(4):
    myFISTADnCNN.run(50,verbose=1)
    show2D(myFISTADnCNN.solution, title = 'Iteration {}'.format(i*50), slice_list=('vertical',sz), cmap='inferno', fix_range=(ca1,ca2), origin='upper-left', size=(5,5))

../../_images/demos_fista_with_denoiser_26_1.png
../../_images/demos_fista_with_denoiser_26_3.png
../../_images/demos_fista_with_denoiser_26_5.png
../../_images/demos_fista_with_denoiser_26_7.png

Comparing the result to the FDK and TV results, the final image is defintely oversmoothed and we have lost information on the edges.

[14]:
show2D([recon15, myFISTATV.solution, myFISTADnCNN.solution], title=['FDK', 'TV', 'Prox DnCNN'],
            slice_list=('vertical',sz), cmap='inferno', fix_range=(ca1,ca2), origin='upper-left', size=(12,36), num_cols=3)

../../_images/demos_fista_with_denoiser_28_0.png
[14]:
<cil.utilities.display.show2D at 0x7f2230213440>

We are careful to clear up after using the torch denoiser, it can use (and sometimes leak) a lot of memory.

[15]:
gc.collect()
torch.cuda.empty_cache()

DRUNet - a noise level aware denoiser#

We now consider a noise level aware denoiser - this time DRUNet, with architecture from the paper Plug-and-Play Image Restoration with Deep Denoiser Prior. It has a U-Net like structure, with convolutional blocks in the encoder and decoder parts. The network takes into account the noise level of the input image, which is encoded as an additional input channel.

[16]:
denoiser = deepinv.models.DRUNet(in_channels=1, out_channels=1, pretrained='download', device=device)

Too large regularisation parameter (\(\lambda = 20\))#

This first regularisation parameter we try looks too large. Again the results are oversmoothed:

[17]:
F = LeastSquares(A, b)
x0 = ig.allocate(0.0)
lamb=20
Regulariser = lamb*DenoiserProximal(denoiser=denoiser, device=device)
myFISTADRUNet2D = FISTA(f=F,
                  g=Regulariser,
                  initial=x0 ,
                  update_objective_interval = 10)
for i in range(4):
    myFISTADRUNet2D.run(50,verbose=1)
    show2D(myFISTADRUNet2D.solution, title = 'Iteration {}'.format(i*50), slice_list=('vertical',sz), cmap='inferno', fix_range=(ca1,ca2), origin='upper-left', size=(5,5))

../../_images/demos_fista_with_denoiser_34_1.png
../../_images/demos_fista_with_denoiser_34_3.png
../../_images/demos_fista_with_denoiser_34_5.png
../../_images/demos_fista_with_denoiser_34_7.png

Too small regularisation parameter (\(\lambda=0.5\))#

This time we have a value which is potentially too small. The limited angle artefacts are not treated as “noise” and instead the denoiser tries to recreate these artefacts to produce images similar to what it saw during training: it looks like the denoiser is trying to make curtains or fabric to me! With this denoiser and this regularisation parameter and automatic step size choice from FISTA, the algorithm is not convergent!

[18]:
F = LeastSquares(A, b)
x0 = ig.allocate(0.0)
lamb=0.5
Regulariser = lamb*DenoiserProximal(denoiser=denoiser, device=device)
myFISTADRUNet2D = FISTA(f=F,
                  g=Regulariser,
                  initial=x0 ,
                  update_objective_interval = 10)
for i in range(4):
    myFISTADRUNet2D.run(50,verbose=1)
    show2D(myFISTADRUNet2D.solution, title = 'Iteration {}'.format(i*50), slice_list=('vertical',sz), cmap='inferno', fix_range=(ca1,ca2), origin='upper-left', size=(5,5))

../../_images/demos_fista_with_denoiser_36_1.png
../../_images/demos_fista_with_denoiser_36_3.png
../../_images/demos_fista_with_denoiser_36_5.png
../../_images/demos_fista_with_denoiser_36_7.png

About right (?) regularisation parameter (\(\lambda = 3\))#

An intermediate value gives a better result. Disclaimer: this is probably not the optimal \(\lambda\) parameter, just the best result from a limited few values we tried

[19]:
F = LeastSquares(A, b)
x0 = ig.allocate(0.0)
lamb=3
Regulariser = lamb*DenoiserProximal(denoiser=denoiser, device=device)
myFISTADRUNet2D = FISTA(f=F,
                  g=Regulariser,
                  initial=x0 ,
                  update_objective_interval = 10)
for i in range(4):
    myFISTADRUNet2D.run(50,verbose=1)
    show2D(myFISTADRUNet2D.solution, title = 'Iteration {}'.format(i*50), slice_list=('vertical',sz), cmap='inferno', fix_range=(ca1,ca2), origin='upper-left', size=(5,5))

../../_images/demos_fista_with_denoiser_38_1.png
../../_images/demos_fista_with_denoiser_38_3.png
../../_images/demos_fista_with_denoiser_38_5.png
../../_images/demos_fista_with_denoiser_38_7.png

We can compare the results of the FDK and TV reconstruction and the two plug and play denoisers we have tried.

[20]:
show2D([recon15, myFISTATV.solution, myFISTADnCNN.solution,  myFISTADRUNet2D.solution], title=['FDK', 'TV' , 'DnCNN prox', 'DRUNet2D prox'],
     slice_list=('vertical',sz), cmap='inferno', fix_range=(ca1,ca2), origin='upper-left', num_cols=5, size=(16, 64))
../../_images/demos_fista_with_denoiser_40_0.png
[20]:
<cil.utilities.display.show2D at 0x7f21e429fdd0>
[21]:
gc.collect()
torch.cuda.empty_cache()

Aside - cost of copying to and from pytorch#

Copying the data from CIL to torch (and onto the GPU if one exists) and back again could be computationally expensive for large data. In this section we want to work out how long this takes. To do this, we add an extra step in the proximal method where we copy the data to and from torch n_copy_repeats times. To make sure that torch actually does the copy, we multiply by a number very close to one after copying to torch. We update the CIL function as follows:

[22]:
class DenoiserProximalWithRepeats(DenoiserProximal ):

    def __init__(self, denoiser, device='cuda:1',  n_copy_repeats=0):
        self.n_copy_repeats = n_copy_repeats
        super(DenoiserProximalWithRepeats, self).__init__(denoiser = denoiser, device = device)


    #overwrite the proximal method
    def proximal(self, x, tau, out=None):
        if out is None:
            out = x.geometry.allocate(None)

        with torch.no_grad():
            x_torch = self.cil_to_torch(x)
            for i in range(self.n_copy_repeats):
                x_torch *= (1.0 - 1e-14)
                self.torch_to_cil(x_torch, x)
                x_torch = self.cil_to_torch(x)

            x_torch = self.denoiser(x_torch, tau)
            self.torch_to_cil(x_torch, out)
        return out
[23]:
def run_DRUProx_recon(n_iterations=200, n_copy_repeats=0):
    start = time()
    F = LeastSquares(A, b)
    x0 = ig.allocate(0.0)
    lamb=0.02
    Regulariser = lamb*DenoiserProximalWithRepeats(denoiser=denoiser, device=device, n_copy_repeats=n_copy_repeats)
    myFISTADRUNet = FISTA(f=F,
                      g=Regulariser,
                      initial=x0 ,
                      update_objective_interval = 10)
    myFISTADRUNet.run(n_iterations, verbose=1)
    end = time()
    return end - start

def plot_copying_overhead(n_iterations=200, max_n_copy_repeats=6):
    fig, axs = plt.subplots(1)
    ncrs = [0, 1, 2, 4, 6]
    while ncrs[-1] < max_n_copy_repeats:
        ncrs += [ncr*10 for ncr in ncrs[-4:]]
    while ncrs[-1] > max_n_copy_repeats:
        ncrs = ncrs[:-1]
    timings = {ncr: run_DRUProx_recon(n_iterations, n_copy_repeats=ncr) for ncr in ncrs}
    axs.plot(timings.keys(), timings.values())
    axs.set_xlabel('Number of copy repeats in each proximal')
    axs.set_ylabel('Total time for {} iterations'.format(n_iterations))
    return list(timings.keys()), list(timings.values())

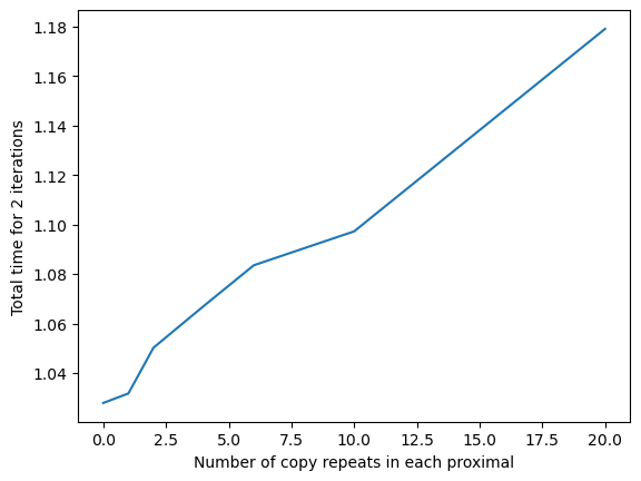
We now calculate the time for 2 iterations of the FISTA algorithm with the denoiser proximal, first with 0 repeated copies and then for 1 repeated copy, then 2 repeated copies and then for a range of number of repeats. We can now plot the total time taken for 2 iterations against the number of repeats. We can also calculate the additional time taken for one copy back and forth.

[24]:
keys, values = plot_copying_overhead(2, 20)
print( 'Seconds for a copy back and forth : ', (values[-1]-  values[-3])/(2*(keys[-1]-  keys[-3])))
Seconds for a copy back and forth :  0.003410117966788156
../../_images/demos_fista_with_denoiser_46_8.png

We repeat this experiment, but this time looking at the time taken for 15 iterations of the FISTA algorithm with the proximal denoiser. The calculated time taken for one copy back and forth roughly matches the value calculated above.

[25]:
keys, values = plot_copying_overhead(15, 100)
print( 'Seconds for a copy back and forth : ', (values[-1]-  values[-3])/(15*(keys[-1]-  keys[-3])))
Seconds for a copy back and forth :  0.004737761550479465
../../_images/demos_fista_with_denoiser_48_11.png

How to deal with 3D data#

All looks brilliant. However, we were dealing with 3D data and currently we are denoising the images with a 2D denoiser, slice by slice. What if we visualise the data in a different plane:

[26]:
show2D([recon15, myFISTATV.solution, myFISTADnCNN.solution, myFISTADRUNet2D.solution], title=['FDK', 'TV' ,'DnCNN prox', 'DRUNet 2D prox'],
     slice_list=('horizontal_x',sx), cmap='inferno', fix_range=(ca1,ca2), origin='upper-left', num_cols=4, size=(16,64))
../../_images/demos_fista_with_denoiser_50_0.png
[26]:
<cil.utilities.display.show2D at 0x7f21e41d9070>

Oh dear! We have lost any consistency in this vertical plane and the reconstruction, although it looked ok, is mostly useless. 3D volume denoisers are rare because of the data sizes involved and lack of training data. In the next section, we instead create a hacky solution by applying the denoiser three times, in 3 different directions, for each call of the proximal.

DRUNet - noise level aware - applied three times in each iteration!#

[27]:
class DenoiserProximal3D(DenoiserProximal ):

    def __init__(self, denoiser, device='cuda:1'):


        super(DenoiserProximal3D, self).__init__(denoiser, device)

    def proximal(self, x, tau, out=None):
        if out is None:
            out = x.geometry.allocate(None)


        with torch.no_grad():
            x_torch = self.cil_to_torch(x)

            x_torch = self.denoiser(x_torch, tau)

            x_torch = x_torch.permute( 2, 1, 0, 3 ) #permute
            x_torch= self.denoiser(x_torch, tau)
            x_torch = x_torch.permute( 2, 1, 0, 3 ) #permute back

            x_torch = x_torch.permute( 3, 1, 2, 0 ) #permute
            x_torch= self.denoiser(x_torch, tau)
            x_torch = x_torch.permute( 3, 1, 2, 0 ) #permute back

            self.torch_to_cil(x_torch, out)
        return out

[28]:
F = LeastSquares(A, b)
x0 = ig.allocate(0.0)
lamb=5
Regulariser = lamb*DenoiserProximal3D(denoiser, device)
myFISTADRUNet3D = FISTA(f=F,
                  g=Regulariser,
                  initial=x0 ,
                  update_objective_interval = 10)
for i in range(4):
    myFISTADRUNet3D.run(50,verbose=1)
    show2D(myFISTADRUNet3D.solution, title = 'Iteration {}'.format(i*50), slice_list=('vertical',sz), cmap='inferno', fix_range=(ca1,ca2), origin='upper-left', size=(5,5))

../../_images/demos_fista_with_denoiser_54_1.png
../../_images/demos_fista_with_denoiser_54_3.png
../../_images/demos_fista_with_denoiser_54_5.png
../../_images/demos_fista_with_denoiser_54_7.png

We can plot our results again, and see much better consistency in the vertical slice. However, there is still some oversmoothing, and we have lost information on the “hole” that the steel wire is sitting in.

[29]:
show2D([recon15, myFISTATV.solution, myFISTADnCNN.solution, myFISTADRUNet2D.solution, myFISTADRUNet3D.solution, ], title=['FDK', 'TV' , 'DnCNN prox',  'DRUNet prox', 'DRUNet3D prox'],
     slice_list=('vertical',sz), cmap='inferno', fix_range=(ca1,ca2), origin='upper-left', size=(24, 120), num_cols=5)
show2D([recon15, myFISTATV.solution, myFISTADnCNN.solution, myFISTADRUNet2D.solution, myFISTADRUNet3D.solution], title=['FDK', 'TV' , 'DnCNN prox', 'DRUNet2D prox', 'DRUNet3D prox'],
    slice_list=('horizontal_x',sx), cmap='inferno', fix_range=(ca1,ca2), origin='upper-left', size=(24,120), num_cols=5)
../../_images/demos_fista_with_denoiser_56_0.png
../../_images/demos_fista_with_denoiser_56_1.png
[29]:
<cil.utilities.display.show2D at 0x7f21e4958c80>
[30]:

gc.collect() torch.cuda.empty_cache()

Summary#

This notebook covers:

  • How to set up an environment with CIL and pytorch and deep inverse

  • How to create a CIL function to wrap a pytorch function or operator

  • Examples of image reconstruction using a pre-trained denoiser in CIL

  • Timings of the data copies between pytorch and CIL

Future work#

There is lots more work that we could have done on this showcase, for example, we could:

  • Investigate different denoisers:

    • Denoisers trained on tomography datasets or trained to remove limited angle tomography artefacts might be more effective in this case

    • 3D denoisers, potentially patch based, would be the proper way of doing the 3D denoising, and would replace our hacky method of applying the denoiser three for each call to proximal

    • Certain denoisers have different mathematical properties e.g. continuity, convexity etc which leads on to…

  • Investigate different algorithms

  • Try with different data

    • We could have considered different levels of noise in the data or different numbers of missing angles

    • In this example, depending on what you were going on to do with the data, the TV reconstruction is still probably best. The plug and play denoisers could be improved by playing around with the regularisation parameters. However, different datasets may be more suited to this method

  • Increase efficiency of the implementation of the plug and play denoiser method

    • We quantified the cost of copying to a from pytorch (and the GPU if you have it). This was not huge but still the 3D example case is reasonably slow ( 200 iterations in approx 5mins for me, compared to 20 seconds for the 3D TV reconstruction) and hopefully this could possibly be improved by:

      • Work to make CIL data containers compatible with pytorch tensors to prevent the additional copies

      • Looking at ways to batch the slices so they can be processed in parallel by the denoiser.